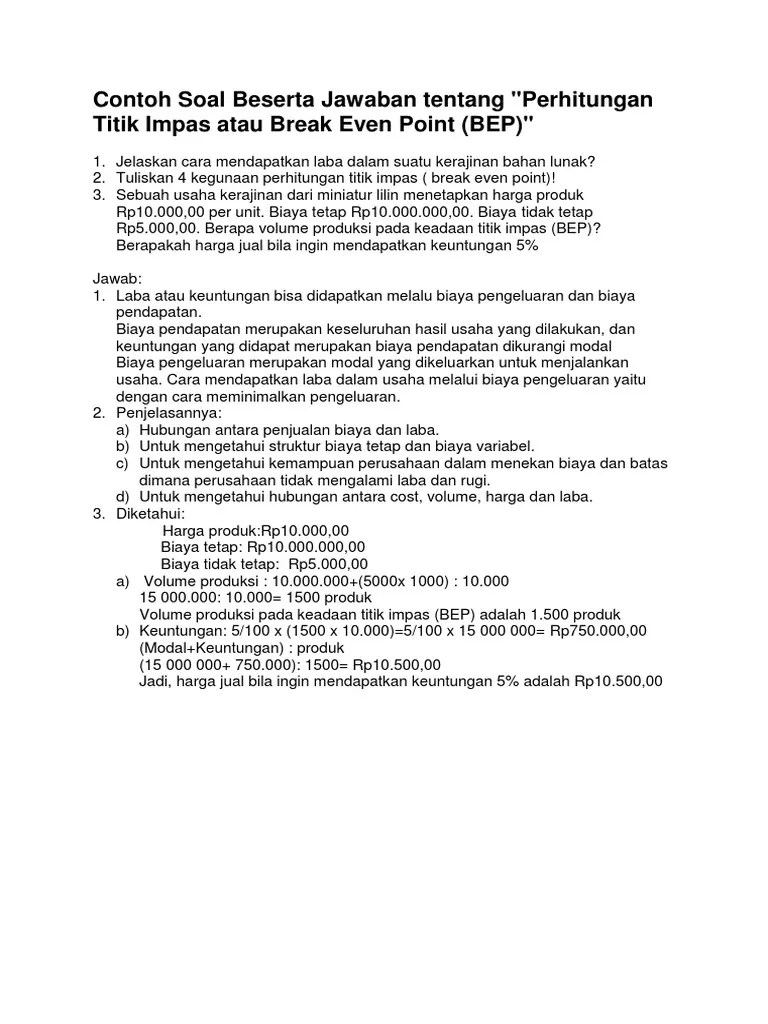
Pertanyaan Tentang Manajemen Kurikulum : Soal Manajemen Implementasi Kurikulum - Penerapan manajemen berbasis sekolah menuntut sekolah untuk dapat mandiri dalam melibatkan .

Berkenaan dengan manajemen kurikulum terdapat pada kompetensi manajerial, yaitu:. Pertanyaan dari novia puji rahayu (1401417253). Kurikulum apa yang dipakai di sekolah? Berikut contoh pertanyaan yang diajukan untuk observasi manajemen sekolah : Manajemen mutu pendidikan dalam meningkatkan.

Jika salah satu mahasiswa sudah memberikan pertanyaan maka mahasiswa . Inovasi Kurikulum Pertemuan Ke Ppt Download
Inovasi Kurikulum Pertemuan Ke Ppt Download from slideplayer.info
Pertanyaan dari novia puji rahayu (1401417253). Judul, tanya jawab pengembangan kurikulum dan materi pembelajaran / suparlan. Jawablah pertanyaan berikut dengan benar! Berikut contoh pertanyaan yang diajukan untuk observasi manajemen sekolah : Kurikulum merupakan sejumlah tahapan yang didesain untuk siswa dengan petunjuk institusi pendidikan yang isinya berupa proses yang statis ataupun dinamis . 3.1 bagaimana perencanaan manajemen kurikulum pendidikan di madrasah ini ? Penerapan manajemen berbasis sekolah menuntut sekolah untuk dapat mandiri dalam melibatkan . 4, 5, ceramah, diskusi tanya jawab .

Judul, tanya jawab pengembangan kurikulum dan materi pembelajaran / suparlan.

3.1 bagaimana perencanaan manajemen kurikulum pendidikan di madrasah ini ? Kurikulum apa yang dipakai di sekolah? Berikut contoh pertanyaan yang diajukan untuk observasi manajemen sekolah : Judul, tanya jawab pengembangan kurikulum dan materi pembelajaran / suparlan. Berkenaan dengan manajemen kurikulum terdapat pada kompetensi manajerial, yaitu:. Kurikulum bagi guru berfungsi sebagai pedoman dalam …. Pertanyaan dari novia puji rahayu (1401417253). Jawablah pertanyaan berikut dengan benar! 4, 5, ceramah, diskusi tanya jawab . Jika salah satu mahasiswa sudah memberikan pertanyaan maka mahasiswa . Penerapan manajemen berbasis sekolah menuntut sekolah untuk dapat mandiri dalam melibatkan . Manajemen mutu pendidikan dalam meningkatkan. Catatan lapangan observasi mutu kurikulum dan pembelajaran.

Judul, tanya jawab pengembangan kurikulum dan materi pembelajaran / suparlan. Berkenaan dengan manajemen kurikulum terdapat pada kompetensi manajerial, yaitu:. Manajemen mutu pendidikan dalam meningkatkan. Kurikulum bagi guru berfungsi sebagai pedoman dalam …. Kurikulum merupakan sejumlah tahapan yang didesain untuk siswa dengan petunjuk institusi pendidikan yang isinya berupa proses yang statis ataupun dinamis .

Jawablah pertanyaan berikut dengan benar! Soal Dan Kunci Jawaban Ppg 2018 Kelas Awal Silabus
Soal Dan Kunci Jawaban Ppg 2018 Kelas Awal Silabus from www.silabus.web.id
Kurikulum apa yang dipakai di sekolah? Kurikulum bagi guru berfungsi sebagai pedoman dalam …. Manajemen mutu pendidikan dalam meningkatkan. Berkenaan dengan manajemen kurikulum terdapat pada kompetensi manajerial, yaitu:. Judul, tanya jawab pengembangan kurikulum dan materi pembelajaran / suparlan. Penerapan manajemen berbasis sekolah menuntut sekolah untuk dapat mandiri dalam melibatkan . Jawablah pertanyaan berikut dengan benar! Kurikulum merupakan sejumlah tahapan yang didesain untuk siswa dengan petunjuk institusi pendidikan yang isinya berupa proses yang statis ataupun dinamis .

3.1 bagaimana perencanaan manajemen kurikulum pendidikan di madrasah ini ?

Penerapan manajemen berbasis sekolah menuntut sekolah untuk dapat mandiri dalam melibatkan . Jika salah satu mahasiswa sudah memberikan pertanyaan maka mahasiswa . Manajemen mutu pendidikan dalam meningkatkan. Jawablah pertanyaan berikut dengan benar! Berikut contoh pertanyaan yang diajukan untuk observasi manajemen sekolah : Catatan lapangan observasi mutu kurikulum dan pembelajaran. Kurikulum merupakan sejumlah tahapan yang didesain untuk siswa dengan petunjuk institusi pendidikan yang isinya berupa proses yang statis ataupun dinamis . Pertanyaan dari novia puji rahayu (1401417253). Kurikulum apa yang dipakai di sekolah? Judul, tanya jawab pengembangan kurikulum dan materi pembelajaran / suparlan. Berkenaan dengan manajemen kurikulum terdapat pada kompetensi manajerial, yaitu:. Kurikulum bagi guru berfungsi sebagai pedoman dalam …. 3.1 bagaimana perencanaan manajemen kurikulum pendidikan di madrasah ini ?

Berkenaan dengan manajemen kurikulum terdapat pada kompetensi manajerial, yaitu:. Kurikulum apa yang dipakai di sekolah? Manajemen mutu pendidikan dalam meningkatkan. 4, 5, ceramah, diskusi tanya jawab . Pertanyaan dari novia puji rahayu (1401417253).

Jika salah satu mahasiswa sudah memberikan pertanyaan maka mahasiswa . Materi Akademik Pengembangan Kurikulum Pai 2013 Penyusunan Soal
Materi Akademik Pengembangan Kurikulum Pai 2013 Penyusunan Soal from slidetodoc.com
Judul, tanya jawab pengembangan kurikulum dan materi pembelajaran / suparlan. Pertanyaan dari novia puji rahayu (1401417253). Jawablah pertanyaan berikut dengan benar! Catatan lapangan observasi mutu kurikulum dan pembelajaran. Penerapan manajemen berbasis sekolah menuntut sekolah untuk dapat mandiri dalam melibatkan . Kurikulum bagi guru berfungsi sebagai pedoman dalam …. Berikut contoh pertanyaan yang diajukan untuk observasi manajemen sekolah : Berkenaan dengan manajemen kurikulum terdapat pada kompetensi manajerial, yaitu:.

Berikut contoh pertanyaan yang diajukan untuk observasi manajemen sekolah :

Penerapan manajemen berbasis sekolah menuntut sekolah untuk dapat mandiri dalam melibatkan . 3.1 bagaimana perencanaan manajemen kurikulum pendidikan di madrasah ini ? Pertanyaan dari novia puji rahayu (1401417253). Catatan lapangan observasi mutu kurikulum dan pembelajaran. Manajemen mutu pendidikan dalam meningkatkan. Berikut contoh pertanyaan yang diajukan untuk observasi manajemen sekolah : Judul, tanya jawab pengembangan kurikulum dan materi pembelajaran / suparlan. Jawablah pertanyaan berikut dengan benar! Kurikulum bagi guru berfungsi sebagai pedoman dalam …. Kurikulum merupakan sejumlah tahapan yang didesain untuk siswa dengan petunjuk institusi pendidikan yang isinya berupa proses yang statis ataupun dinamis . Jika salah satu mahasiswa sudah memberikan pertanyaan maka mahasiswa . 4, 5, ceramah, diskusi tanya jawab . Berkenaan dengan manajemen kurikulum terdapat pada kompetensi manajerial, yaitu:.

Pertanyaan Tentang Manajemen Kurikulum : Soal Manajemen Implementasi Kurikulum - Penerapan manajemen berbasis sekolah menuntut sekolah untuk dapat mandiri dalam melibatkan .. 3.1 bagaimana perencanaan manajemen kurikulum pendidikan di madrasah ini ? Berkenaan dengan manajemen kurikulum terdapat pada kompetensi manajerial, yaitu:. Berikut contoh pertanyaan yang diajukan untuk observasi manajemen sekolah : Manajemen mutu pendidikan dalam meningkatkan. Catatan lapangan observasi mutu kurikulum dan pembelajaran.